中国运动文化教育网
体教联盟

根据《体育总局科教司 教育部办公厅关于印发
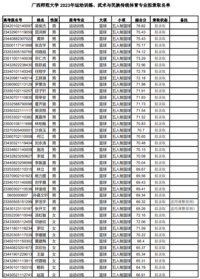
我校2023年运动训练、武术与民族传统体育专业拟录取名单见附件。拟录取考生还须报国家体育总局和生源地省级招生部门进行审核备案,审核不合格者将不予录取。
为维护招生考试的公平、公正,现对我校招生拟录取名单进行公示,公示期5天,如有对录取的个人有异议或其他问题,请在2023年5月25日前向我校招生办反映,联系电话0773-5818532,5817996。
附件:广西师范大学2023年运动训练、武术与民族传统体育专业拟录取名单.pdf






广西师范大学招生办公室
2023年5月21日
来源:广西师范大学,仅供参考,最终以院校官方网站发布为准。